
Drug Target Models
GPCR Reporter Cells
Immunotherapy cells
Other Stable Cells
Assay Kits & Reagents
Services
Resources
Company
Cat. No: RQP74258
Size: 1 vial of frozen cells (>1E6 per vial in 1 mL)
Unit Price: Contact For Pricing
| Cat. No | RQP74258 |
| Product Name | CHO-K1 Human IL6RA&IL6ST Dimerization Cell |
| Product Type | Reporter Cell |
| Culture Properties | Adherent |
| Stability | 32passages (in-house test, that not means the cell line will be instable beyond the passages we tested.) |
| Mycoplasma Status | Negative |
| Culture Medium | F12K+10%FBS+5 μg/ml blasticidin+5 μg/ml puromycin |
| Freeze Medium | 90% FBS+10% DMSO |
| Storage Conditions | Liquid nitrogen immediately upon delivery |
| Application | Functional(Report Gene) Assay |
For research use only. Not intended for human or animal clinical trials, therapeutic or diagnostic use.
Interleukin-6 (IL-6), a four-helix bundle protein, is a pivotal cytokine in the integration of immune responses. It is produced by fibroblasts, monocytes/macrophages, T lymphocytes, B lymphocytes, epithelial cells, keratinocytes, and various tumor cells. In normal cells, IL-6 production can be induced by a multitude of factors, including IL-1, TNF-α, PDGF, viral infections, and double-stranded RNA. Consequently, IL-6 plays a critical role in acute inflammatory responses.
There are two distinct IL-6 signaling pathways: the classic signaling pathway and the trans-signaling pathway. In the classic signaling pathway, IL-6 binds to the IL-6 receptor alpha subunit (IL-6Rα) to form an IL-6–IL-6Rα complex; this complex subsequently associates with the signal-transducing IL-6R beta subunit (also known as GP130), thereby initiating intracellular signal transduction. IL-6 binds to the IL-6 receptor (IL-6R) alpha subunit, a member of the hematopoietic receptor family. GP130 also serves as the signaling receptor subunit for the cytokines IL-11, IL-27, IL-35, CNTF, CT-1, LIF, OSM, and CLC. This intracellular signal transduction primarily involves the activation of Janus kinases (JAKs) and the Signal Transducer and Activator of Transcription (STAT) pathway (mediated primarily through STAT1 and STAT3), as well as the RAS-dependent Mitogen-Activated Protein Kinase (MAPK) signaling cascade.
The CHO-K1 Human IL6RA&IL6ST Dimerization Cell Model—effectively simulates the signal transduction process of IL6 *in vivo*. The underlying principle is illustrated in the figure below.

Figure 1. Schematic Diagram of the CHO-K1 Human IL6RA&IL6ST Dimerization Cell Model
| Classification | Cytokine&Growth Factor |
| Family | type I cytokine receptor family. Type 3 subfamily |
| Gene Name | IL6R |
| Gene Aliases | CD126;IL-6R;IL-1Ra;IL6RA;gp80 |
| Gene ID | 3570 |
| Accession Number | NM_000565.4 |
| UniProt Number | P08887 |
| Protein Name | IL-6 receptor subunit alpha; IL-6R subunit alpha; IL-6R-alpha; IL-6RA |
| Protein Aliases | IL-6R 1;Membrane glycoprotein 80 (gp80) |
| Family-2 | type I cytokine receptor family. Type 2 subfamily |
| Gene Name-2 | IL6ST |
| Gene Aliases-2 | GP130;CD130;sGP130;IL-6RB |
| Gene ID-2 | 3572 |
| Accession Number-2 | NM_002184.4 |
| UniProt Number-2 | P40189 |
| Protein Name-2 | IL-6 receptor subunit beta; IL-6R subunit beta; IL-6R-beta; IL-6RB |
| Protein Aliases-2 | CDw130;Interleukin-6 signal transducer;gp130 |
| Target Species | Human |
| Host cell | CHO-K1 |
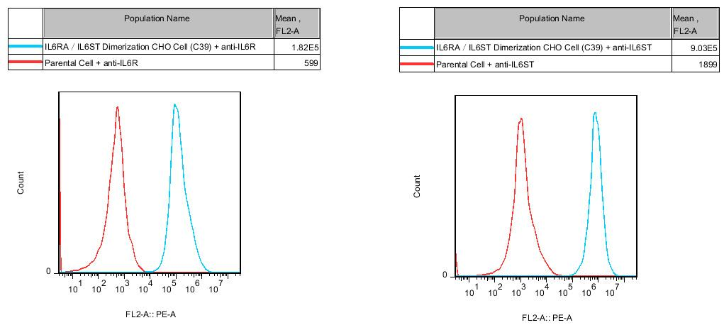
CHO cell line expressing full length human IL6RA&IL6ST. Expression is confirmed by flow cytometry.

Figure 2. Recombinant IL6RA&IL6ST Dimerization CHO constitutively expressing IL6RA&IL6ST.

Figure 3. Dose response of Human IL6 in IL6RA&IL6ST Dimerization CHO Cell(C39).
Cell Resuscitation
1)Rapidly thaw the frozen cells in a 37 °C water bath for approximately 60 seconds. Once thawed (which may take slightly less or more than 60 seconds), immediately transfer the cell suspension from the cryovial into a 15 mL centrifuge tube containing 10 mL of pre-warmed CHO-K1 Human IL6RA&IL6ST Dimerization Cell complete culture medium.
2)Centrifuge cells at 1000 rpm for 5 min to remove medium, then resuspend cells in 5 mL of pre-warmed complete medium.
3)Transfer the cell suspension into a T25 culture flask and incubate at 37 °C with 5% CO₂.
4)After approximately 24–36 hours, replace the medium or passage the cells to remove non-adherent dead cells.
Subculturing procedure
1)When the cell density reaches the appropriate confluency for passaging, wash the cells with PBS, then add 1 mL trypsin to detach the cells. When more than 80% of the cells detach upon gently tapping the culture flask, add complete culture medium to terminate digestion. Gently pipette to obtain a single-cell suspension, transfer to a 15 mL centrifuge tube, and centrifuge at 1000 rpm for 5 minutes.
2)Discard supernatant after centrifugation. Resuspend cells in fresh medium to a single-cell suspension and transfer to a new culture flask for continued growth.
Cell Freezing
After trypsinization and centrifugation of cells from each T75 flask or 10 cm culture dish, discard the supernatant. Add 2 mL of cryopreservation medium (90% FBS + 10% DMSO), gently resuspend thoroughly, and aliquot into two cryovials. Immediately place the cryovials into a controlled-rate freezing container (e.g., Nalgene 5100-0001), fill with isopropanol to the indicated level, and store at −80 °C. After 24 hours, transfer the cryovials to liquid nitrogen for long-term storage.
We Are Pleased to Announce: Global Commercial Licensing Rights for Jurkat E6.1, CHO-K1, and HEK293 Cell Lines Officially Secured.
Explore