
Drug Target Models
GPCR Reporter Cells
Immunotherapy cells
Other Stable Cells
Assay Kits & Reagents
Services
Resources
Company
Cat. No: RQP74451
Size: 1 vial of frozen cells (>1E6 per vial in 1 mL)
Unit Price: Contact For Pricing
| Cat. No | RQP74451 |
| Product Name | CHO-K1 Human ERBB2&ERBB4 Dimerization Cell |
| Product Type | Reporter Cell |
| Culture Properties | Adherent |
| Stability | 32passages (in-house test, that not means the cell line will be instable beyond the passages we tested.) |
| Mycoplasma Status | Negative |
| Culture Medium | F12K+10% FBS+5 μg/ml Puromycin+5 μg/ml Blasticidin |
| Freeze Medium | 90% FBS+10% DMSO |
| Storage Conditions | Liquid nitrogen immediately upon delivery |
| Application | Functional(Report Gene) Assay |
For research use only. Not intended for human or animal clinical trials, therapeutic or diagnostic use.
The HER2 gene belongs to the human epidermal growth factor receptor family (the ErbB family). This family consists of four highly homologous protein members—EGFR, HER2, HER3, and HER4—which govern cellular growth, survival, differentiation, and migration. Unlike the other three members, the HER2 protein is essentially an "orphan receptor" that lacks a specific ligand; it is the only receptor within the family capable of binding with other family members to form heterodimeric structures.
Upon binding with extracellular ligands, the HER2 protein undergoes receptor dimerization to form heterodimers, followed by autophosphorylation. This process subsequently activates intracellular signaling pathways—such as the Mitogen-Activated Protein Kinase (MAPK)/ERK pathway and the Phosphatidylinositol 3-Kinase (PI3K)/Akt/mTOR pathway. The activation of these downstream signaling pathways regulates various cellular processes, including cell proliferation, survival, and the metastasis of tumor cells. Under normal physiological conditions, HER2 expression is typically low or undetectable; however, it is frequently overexpressed in various solid tumors. HER2 is associated with a wide range of cancers, including breast cancer, gastric cancer, colorectal cancer, bladder cancer, ovarian cancer, endometrial cancer, and lung cancer.
The ERBB2 & ERBB4 Dimerization CHO Reporter Gene Drug Target Model effectively simulates the *in vivo* signal transduction processes involving ERBB2 and ERBB4. The underlying principle is illustrated in the accompanying figure.

Figure 1. Schematic Diagram of the ERBB2 & ERBB4 Dimerization CHO Cell Model
| Classification | Cytokine&Growth Factor |
| Family | Epidermal growth factor receptor (EGFR/ERBB) family |
| Gene Name | ERBB2 |
| Gene Aliases | NGL;NEU;HER-2;CD340;HER2;c-ERB2;c-ERB-2;MLN-19;p185(erbB2) |
| Gene ID | 2064 |
| Accession Number | NM_004448.4 |
| UniProt Number | P04626 |
| Protein Name | Receptor tyrosine-protein kinase erbB-2 |
| Protein Aliases | MLN 19;Proto-oncogene Neu;Proto-oncogene c-ErbB-2 |
| Family-2 | Erb-b2 receptor tyrosine kinases |
| Gene Name-2 | ERBB4 |
| Gene Aliases-2 | ALS19;HER4 |
| Gene ID-2 | 2066 |
| Accession Number-2 | NM_005235.3 |
| UniProt Number-2 | Q15303 |
| Protein Name-2 | Receptor tyrosine-protein kinase erbB-4 |
| Protein Aliases-2 | N/A |
| Target Species | Human |
| Host cell | CHO-K1 |

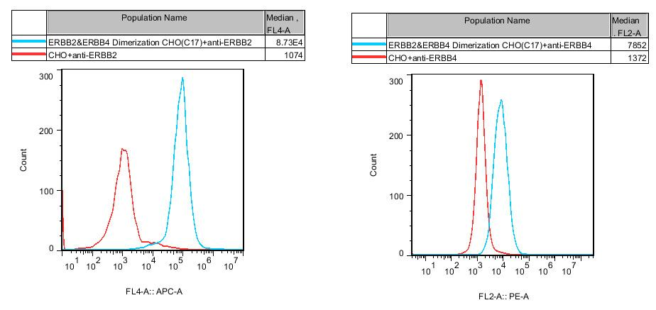
Figure 2. Recombinant ERBB2&ERBB4 Dimerization CHO stably expressing ERBB2&ERBB4.

Figure 3. Dose Response of Ligands in ERBB2&ERRB4 Dimerization CHO(C17).

Figure 4. Inhibition of Human NRG1-β1 induced ERBB2&ERBB4 Dimerization by ERBB2 Abs in ERBB2&ERBB4 Dimerization CHO ( C17).

Figure 5. Inhibition of Human NRG1-β2 induced ERBB2&ERBB4 Dimerization by ERBB2 Abs in ERBB2&ERBB4 Dimerization CHO( C17).
Cell Resuscitation
1)Rapidly thaw the frozen cells in a 37 °C water bath for approximately 60 seconds. Once thawed (which may take slightly less or more than 60 seconds), immediately transfer the cell suspension from the cryovial into a 15 mL centrifuge tube containing 10 mL of pre-warmed CHO-K1 Human ERBB2&ERBB4 Dimerization Cell complete culture medium.
2)Centrifuge cells at 1000 rpm for 5 min to remove medium, then resuspend cells in 5 mL of pre-warmed complete medium.
3)Transfer the cell suspension into a T25 culture flask and incubate at 37 °C with 5% CO₂.
4)After approximately 24–36 hours, replace the medium or passage the cells to remove non-adherent dead cells.
Subculturing procedure
1)When the cell density reaches the appropriate confluency for passaging, wash the cells with PBS, then add 1 mL trypsin to detach the cells. When more than 80% of the cells detach upon gently tapping the culture flask, add complete culture medium to terminate digestion. Gently pipette to obtain a single-cell suspension, transfer to a 15 mL centrifuge tube, and centrifuge at 1000 rpm for 5 minutes.
2)Discard supernatant after centrifugation. Resuspend cells in fresh medium to a single-cell suspension and transfer to a new culture flask for continued growth.
Cell Freezing
After trypsinization and centrifugation of cells from each T75 flask or 10 cm culture dish, discard the supernatant. Add 2 mL of cryopreservation medium (90% FBS + 10% DMSO), gently resuspend thoroughly, and aliquot into two cryovials. Immediately place the cryovials into a controlled-rate freezing container (e.g., Nalgene 5100-0001), fill with isopropanol to the indicated level, and store at −80 °C. After 24 hours, transfer the cryovials to liquid nitrogen for long-term storage.
We Are Pleased to Announce: Global Commercial Licensing Rights for Jurkat E6.1, CHO-K1, and HEK293 Cell Lines Officially Secured.
Explore